Artículos de investigación
Analysis of basketball subjects in university degrees in Physical Activity and Sport Sciences in Spain
Jose Maria Gimenez Egido1,2,3
Alba Ponce Murcia1,2,3
Ricardo André Birrento Aguiar1,2,3*
1 Facultad de Ciencias de la Actividad Física y Deporte, Universidad Murcia, 30720 Santiago de Ribera, España.
2 Human Movement and Sports Science, Universidad Murcia, 30720 Santiago de Ribera, España.
3 Sports Performance Analysis Association, Universidad Murcia, 30720 Santiago de Ribera, España.
Resumen
El objetivo de este estudio es analizar, evaluar y conocer la organización y estructura de las asignaturas de baloncesto impartidas en los Grados en Ciencias de la Actividad Física y del Deporte en España con el fin de orientar tanto a estudiantes como docentes de este ámbito. Para ello, se ha seleccionado una muestra de treinta y nueve grados universitarios y sesenta y dos asignaturas relacionadas con el baloncesto. Todos los grados fueron localizados en la página web oficial de la Agencia Nacional de Evaluación de la Calidad y Acreditación (ANECA). De cada asignatura se han analizado diversas variables, entre ellas: la universidad en la que se imparte, el tipo de asignatura, el nivel de profundización, el número de créditos, el curso y el cuatrimestre correspondientes, así como la modalidad de enseñanza. También se ha considerado la distribución de horas dedicadas a actividades teóricas, prácticas y otras complementarias. En cuanto al sistema de evaluación, se ha examinado el uso de distintos instrumentos, como el examen teórico, el examen práctico y los trabajos, determinando además el porcentaje que cada uno de ellos representa en la calificación final, con el objetivo de identificar cuál tiene mayor peso en la evaluación global. Asimismo, se ha valorado la incorporación de seminarios, la participación en congresos, el fomento de la investigación y la presencia de contenidos relacionados con la técnica, la táctica, los reglamentos, la enseñanza y otros temas afines. Los resultados más significativos señalaron que: a) respecto al nivel de profundización, se aprecian tres niveles: fundamentos, Enseñanza y Alto Rendimiento, aunque sólo en cinco universidades se ofrecen los tres; c) las asignaturas de Fundamentos son de carácter obligatorio, mientras que los otros dos niveles son optativos; d) a mayor nivel de profundización, mayor número de créditos asignados a esta asignatura y menor contenido en los bloques de enseñanza. Los hallazgos de este estudio permiten conocer con mayor detalle la estructura de los grados universitarios, y ponen a disposición de los estudiantes y docentes de la información necesaria para tomar decisiones (matriculación, intercambios, estancias, colaboraciones, etc.). Igualmente, esta información es realmente útil para el diseño de los grados en ciencias de la actividad física y el deporte.
Palabras clave: CAFyD, ANECA, programa de estudio.
Abstract
The aim of this study is to analyze, evaluate, and understand the organization and structure of basketball-related courses offered in the Bachelor’s Degrees in Physical Activity and Sports Sciences in Spain, with the aim of providing guidance to both students and instructors in this field. To this end, a sample of thirty-nine university degree programs and sixty-two basketball-related courses was selected. All the programs were identified through the official website of the National Agency for Quality Assessment and Accreditation (ANECA). For each course, several variables were analyzed, including the university offering the course, the type of course, the level of specialization, the number of credits, the academic year and semester in which it is taught, and the mode of delivery. The distribution of hours devoted to theoretical, practical, and complementary activities was also examined. Regarding the assessment system, the use of different evaluation instruments—such as theoretical exams, practical exams, and coursework—was analyzed, as well as the percentage weight of each component in the final grade, with the goal of determining which one carries the greatest influence on overall assessment. Additionally, the inclusion of seminars, participation in conferences, encouragement of research, and the presence of content related to technique, tactics, regulations, teaching, and other related topics were evaluated. The most significant findings revealed that: (a) three levels of specialization can be identified—Foundations, Teaching, and High Performance—although only five universities offer all three; (b) the Foundations courses are compulsory, while the other two levels are elective; and (c) as the level of specialization increases, the number of credits assigned to the course also increases, while the proportion of teaching-related content decreases.The findings of this study provide a detailed understanding of the structure of university degree programs and offer valuable information for both students and faculty. For students, this information can guide decisions regarding enrollment, exchanges, placements, or collaborations. For instructors, it supports opportunities for cooperation with other educators and researchers. Moreover, these insights are highly useful for the design and development of degree programs in Physical Activity and Sports Sciences.
Keywords: CAFyD, ANECA, study programs.
El origen del Espacio Europeo de Enseñanza Superior se remonta a la Declaración de Bolonia, firmada en junio de 1999 por los ministros europeos de enseñanza (Márcia, Soler, Costes y Lavega, 2013). La Declaración de Bolonia inició el proceso de convergencia entre los sistemas universitarios de los países del Espacio Europeo de Educación Superior (EEES). Esta fue firmada por veintinueve ministros europeos del ámbito educativo y, en España, se implantó finalmente en el año 2010. Uno de los pilares de la EEES es promover la movilidad de estudiantes, profesorado y titulados entre todos aquellos países que sean miembros, permitiendo a los estudiantes continuar sus estudios en otras universidades, favoreciendo los intercambios docentes y facilitando la circulación de profesionales con titulaciones superiores. En 2002 se fundó la Agencia Nacional de Evaluación de la Calidad y Acreditación (ANECA) con el objetivo de mejorar la calidad del sistema universitario y plasmar la enseñanza española al EEES. La ANECA creó los protocolos y guías para verificar los títulos oficiales adaptados al EEES, al igual que la evaluación de presupuestos de planes de estudio (programa VERIFICA).
La consolidación del EEES en España fue tardía, por lo que, hasta 2003, no hubo un sistema europeo de créditos y el sistema de calificaciones en las titulaciones universitarias oficiales en todo el país con el Real Decreto 1125/2003 (Coterón, Franco y Gil, 2012). La implantación del EEES supuso reformas legislativas significativas. La Ley Orgánica 4/2007 modificó la Ley Orgánica de Universidades (LOU), impulsando una reforma universitaria española orientada a la planificación estructurada de las enseñanzas en tres niveles: Grado, Máster y Doctorado (Jiménez, Ramos y Ávila, 2012). El Real Decreto 1393/2007 organizó las enseñanzas universitarias en los tres niveles mencionados y definió los criterios para la verificación y acreditación de los títulos. Desde entonces, todas las universidades españolas han sustituido las antiguas titulaciones de diplomaturas, licenciaturas, etc., por los títulos de Grado. Este cambio fue una medida acatada en la organización de estudios universitarios que pertenecen al Espacio Europeo de Educación Superior (EEES). El Real Decreto 1393/2007 sistematizó la organización de enseñanzas universitarias del EEES, al igual que todos los cambios que se produzcan consecutivamente.
Los estudios de Grado plantean que:
• El estudiante obtiene una formación general encaminada a la preparación para el ejercicio de actividades de carácter profesional
• Se obtendrá el título de Graduado tras la superación del Grado
• Durante los 4 años de Grado, se tendrá que superar un total de 240 créditos, 60 de ellos por curso académico
• El Trabajo Fin de Grado (TFG) obtendrá un valor entre seis y treinta créditos
• Artes y Humanidades, Ciencias, Ciencias de la Salud, Ciencias Sociales y Jurídicas, Ingeniería y Arquitectura, son las diferentes ramas que encontramos en los Grados.
Según el Real Decreto 1393/2007, todos los títulos universitarios oficiales, tras la fecha de inclusión en el Registro de Universidades, Centros y Títulos, deben pasar una evaluación cada seis años para garantizar su acreditación e impartición. En España se modificó el Real Decreto 1393/2007 del 29 de octubre por la implantación del Real Decreto 43/2015. Este último refleja la implantación de las enseñanzas oficiales de cada universidad. Además, el Real Decreto 99/2011 del 28 de enero establece las enseñanzas oficiales de doctorado.
El modelo adoptado en España contempla cuatro años de Grado (240 créditos) y uno de Máster (60 créditos). No obstante, en otros países europeos prevalece el modelo 3+2 (180 créditos de Grado y 120 de Máster). Esta diferencia ha generado dificultades en el reconocimiento internacional de títulos, especialmente cuando estudiantes españoles desean cursar un máster en el extranjero. Aunque el sistema español permite, de forma voluntaria, que algunas universidades adopten el modelo de tres años de Grado, esta opción no se ha generalizado.
En cuanto al Grado Ciencias de la Actividad Física y del Deporte, sus antecedentes se remontan a la Ley 77/1961 del 23 de diciembre, de Educación Física, donde se manifestó en su tercer capítulo la educación física en el Sistema Educativo. A través del Real Decreto 1670/1993 del 24 de septiembre de 1993, el Ministerio de Educación y Ciencia estableció el título universitario oficial de Licenciado en Ciencias de la Actividad Física y del Deporte, junto con las directrices generales del plan de estudios para la obtención del título. Según Del Villar, (2005), los nombres “Ciencias de la Actividad Física”, “Ciencias del Movimiento Humano”, “Ciencias de la Motricidad”, “Ciencias del Deporte o “Ciencias de la Actividad Física y del Deporte” son sinónimos entre sí. Por ello, destacan el valor de las ciencias o ciencia en ese grado y consignan a un problema lo que es el movimiento humano o la actividad física. Es en los años 90 cuando se cambia en España la denominación Educación Física por Ciencias de la Actividad Física y del Deporte, un cambio a destacar por el resto de los países del mundo, el cual ha sido inevitable para resaltar las insuficiencias como la firmeza y rigor del mundo cotidiano de la Educación Física. Sin embargo, aún hoy esta discusión permanece en algunos círculos (Del Villar, 2005). El objetivo de una progresión basada en lo general y orientada a lo específico es total y únicamente práctico. Éste se fragmenta en cuatro áreas como son la educación física institucionalizada, el alto rendimiento deportivo, la actividad física y salud, la promoción social del deporte para todos (Del Villar, 2005). Durante cuatro años de grado, los contenidos se organizan de la siguiente manera (Del Villar, 2005):
• Formación básica y común tanto en el curso de primero y segundo.
• Formación aplicada común. El alumno debe saber y ejercer las competencias profesionales de cada orientación profesional en el tercer curso. El título general permite trabajar en cualquiera de los cinco campos profesionales definidos.
• En el último curso, la formación está guiada hacia un perfil más profesional, es decir, a través de las optativas que puede elegir cada alumno, adquirirá un conocimiento más especializado, que le permitirá continuar con el postgrado
El 18 de septiembre de 2018, la Secretaría General de Universidades publica el Acuerdo del Consejo de Universidades, en el que se establece unas recomendaciones con el fin de verificar el título oficial del Grado en Ciencias de la Actividad Física y del Deporte. Dicha publicación fue publicada en el “Boletín Oficial del Estado”.
Los nuevos objetivos están organizados en siete áreas de competencias:
1. Intervención educativa
2. Prevención, adaptación y mejora del rendimiento físico-deportivo y de la salud mediante la condición y el ejercicio físicos
3. Promoción de hábitos saludables y autónomos mediante actividad física y deporte
4. Intervención mediante las manifestaciones del movimiento humano
5. Planificación, evaluación y dirección-organización de los recursos y la actividad física y deporte
6. Método y evidencia científica en la práctica
7. Desempeño, deontología y ejercicio profesional en el contexto de las intervenciones
La planificación de la enseñanza destaca que cada plan de estudios debe de contar con una carga lectiva de 240 créditos ECTS, siendo de carácter presencial al menos un 60%. En este sentido, a partir de las recomendaciones aprobadas en 2018 actualmente todas las universidades se encuentran en el proceso de adaptación de sus planes de estudio, lo que está implicando procesos de reflexión importante hacia donde se deben dirigir los principales contenidos y resultados de aprendiza para alcanzar las competencias pretendidas. En concreto, se ha encontrado varios trabajos de investigación que analizan contenidos de las guías docentes de asignaturas y otros temas relacionadas con el grado, como por ejemplo, el de Vicente y Brozas (2014) sobre la evolución de los planes de estudio de Educación Física y Ciencias de la Actividad Física en la Universidad de León, el de Gómez-López, et al (2016) sobre el Balonmano, el realizado por Conesa-Ros y Angosto, (2017) sobre la Expresión Corporal, el de Morales, Torres, y Espinosa, (2017) sobre la Vela, y el de Gallardo-Guerrero, et al., (2021) analizando las guías docentes de la asignatura de Equipamiento e Instalaciones Deportivas. Desde una perspectiva general se aprecia que la organización y planificación de las asignaturas analizadas en los distintos estudios debe mejorar aportando más horas y créditos para una mejor formación para el estudiante. Un caso de estudio especialmente relevante es el de Mujica-Johnson y Jiménez (2019), quienes analizaron la percepción emocional del alumnado de la asignatura de Baloncesto mediante entrevistas individuales. En concreto se trabajó con un diseño de estudio no experimental y de forma interpretativa, con una muestra de 15 hombres y 4 mujeres estudiantes de este grado mediante de una entrevista individual, con el fin de averiguar la percepción emocional de los estudiantes. Los resultados más significativos de este estudio señalaron que aquellos estudiantes sin experiencia en este deporte basan sus emociones positivas o negativas a partir los juegos socio motores, dependiendo de la victoria o derrota. Por otro lado, los alumnos con más experiencia en baloncesto no buscan la competitividad, sino ayudar a los demás compañeros a través del aprendizaje y emociones positivas. Este hallazgo subraya la importancia de la ayuda pedagógica tanto del docente de la asignatura como los estudiantes con más experiencia hacia aquellos compañeros que no la tienen, fomentando además el valor de la solidaridad, respeto y responsabilidad. En este contexto, se considera de especial interés seguir estudiando la estructura y contenidos de las asignaturas impartidas en los Grados en Ciencias de la Actividad Física y del Deporte en España con el fin de orientar tanto a estudiantes como docentes de este ámbito. Por tanto, el objetivo de este trabajo fue analizar el estado de la asignatura de baloncesto en los Grados de Ciencias de Actividad Física y Deporte en España.
Para esta investigación, se ha seleccionado una muestra de treinta y nueve universidades que ofrecen el Grado en Ciencias de la Actividad Física y del Deporte en España. Para ello, se ha utilizado la base de datos de la Agencia Nacional de Evaluación de la Calidad y Acreditación (ANECA), introduciendo como medio de búsqueda la palabra “deporte” y especificando “grado” en el apartado de ciclo. De cada uno de los títulos, a través de la búsqueda en sus planes de estudio publicados en las páginas web, se encontraron sesenta y dos asignaturas relacionadas con la asignatura de Fundamentos del Baloncesto. De cada una de las asignaturas se analizan tres grandes bloques de contenidos: a) descripción de la asignatura; b) la evaluación de la asignatura; c) el contenido impartido. En total, se ha analizado veinte y siente variables.
Dentro de la parte descriptiva de la asignatura se analizaron las variables:
- Universidad.
- Tipo (obligatorio, optativo, formación básica)
- Profundización (primer nivel Fundamentos; segundo nivel Enseñanza; tercer nivel Especialización)
- Número de créditos
- Curso en el que se imparte
- Cuatrimestre en el que se imparte (Primero, Segundo, Anual)
- Modalidad (solo baloncesto; compartida con otro; compartida, pero se da completa)
- Número de horas de actividades teóricas
- Número de horas de actividades prácticas
- Otras.
Dentro de la estructura de evaluación se registraron las variables:
- Se evalúa la asignatura con examen teórico
- Se evalúa la asignatura con examen práctico
- Se evalúa la asignatura con trabajos
- Qué evaluación tiene mayor porcentaje en la evaluación final (Exámenes; Trabajos; Ambos; Otros).
- Uso de seminarios
- Valoración de congresos, jornadas
- Fomento de la investigación, mediante el desarrollo de trabajos de investigación, participación como alumno interno, etc…
Dentro de la perspectiva del contenido impartido, las variables fueron:
- Número de temas relacionados con TÉCNICA
- Número de temas relacionados con TÁCTICA
- Número de temas relacionados con REGLAMENTO
- Número de temas relacionados con HISTORIA
- Número de temas relacionados con ENSEÑANZA
- Número de temas relacionados con OTROS
Una vez definidas las variables a registrar, se realizó un entrenamiento de los observadores. Para ello, se utilizaron las asignaturas de baloncesto (dos asignaturas) pertenecientes a un grado de ciencias de la actividad física y el deporte. Se compararon los datos de los dos observadores (novato y experto). Todos los datos observados presentaron u índice de fiabilidad de 1. Para la recogida de los datos se utilizó el programa de Microsoft Excel, y para el análisis descriptivo de los datos (medias, moda, desviación típica y frecuencias) se utilizó el SPSS V. 21.0.
Tras el análisis de los datos, se observa una media de 1.58 asignaturas por cada grado universitario, con una moda de dos asignaturas afines con el deporte del Baloncesto.
Al analizar los planes de estudio de los grados en Ciencias de la Actividad Física y del Deporte, únicamente en cinco universidades españolas (UEX, UGR, ULEÓN, UEM y UPM) se identifican tres niveles de profundización: Fundamentos, Enseñanza y Alto Rendimiento (Figura 1). En trece universidades se imparten dos asignaturas (Fundamentos y Enseñanza), mientras que en veinte solo se ofrece la asignatura de Fundamentos. Estos resultados son similares a los hallados en el análisis de la asignatura de balonmano (Gómez-López et al., 2016), donde únicamente se observan dos niveles de profundización (Fundamentos y Especialización/Tecnificación), siendo menor el porcentaje de esta última (42,9%) frente a la primera (57,1%).

Figura 1. Materias de Baloncesto, según nivel de profundización
En general, se aprecia que pocas universidades apuestan por una formación especializada en deportes concretos, lo que se traduce en un número reducido de alumnos con alta especialización deportiva. En cuanto a la nomenclatura de las asignaturas (Figura 2), el 60% se denomina directamente “Baloncesto” o centra su contenido exclusivamente en este deporte, mientras que el 40% restante presenta contenidos compartidos con otros deportes (25 asignaturas). Destacan la Universidad de Extremadura y la Universidad de Murcia, que utilizan una materia madre —como “Alto Rendimiento”— y diferencian los deportes dentro de los grupos, de manera que el estudiante recibe contenidos específicos de un único deporte.

Figura 2. Distribución de asignaturas, según nomenclatura/contenidos
En las universidades en las que se proporciona solamente un nivel de profundización, es decir, solo una asignatura de baloncesto, en la mitad de ellas, se imparte únicamente contenidos de baloncesto, en la otra mitad, se imparten contenidos de varios deportes (Figura 3). En este sentido, al analizar la profundización de Enseñanza el porcentaje es menor, ya que de 13 universidades en la que se imparte, únicamente en tres se comparte con otros deportes.

Figura 3. Distribución de modalidad de asignaturas, según nivel de profundización
En concreto, en las 39 universidades analizadas, la asignatura de baloncesto tiene carácter obligatorio, ya sea con contenido específico o compartiendo nomenclatura con otros deportes. Solamente, los contenidos de profundización de enseñanza se encuentran en cuatro universidades, aunque en ninguna se haya el contenido de alto rendimiento (ver Figura 4). En cambio, en las asignaturas de Vela del Grado Ciencias de la Actividad Física Deportiva la mayoría de las asignaturas son optativas y no obligatorias, con excepciones como la Universidad de Murcia, donde encontramos una asignatura de Fundamentos de la vela (obligatoria) y la especialización de esta misma que es optativa (Morales et al, 2017).

Figura 4. Número de asignaturas obligatorias/optativas según nivel de profundización en la materia de Baloncesto en los Grados de CAFD
Al analizar el total de las materias estudiadas, se aprecia que la media de créditos de cada una de ellas depende de la profundización ofrecida, es decir, a mayor profundización, el número de créditos aumenta (Figura 5).

Figura 5. Créditos de las materias de baloncesto, según profundización
En relación con los créditos, se observa que el 50% de los grados que solo ofrecen una asignatura relacionada con el baloncesto, tiene un total de 6 créditos, aproximadamente. En cambio, el otro 50%, gracias a las asignaturas optativas, ofrecen más créditos de un deporte concreto. Por ejemplo, la Universidad de Granada junto a la Universidad Politécnica de Madrid ofrecen un total de 22 créditos, fomentando una mayor formación específica de este deporte.
Por otro lado, si la asignatura es compartida con otros deportes, durante el nivel de Fundamentos y Enseñanza, el número de créditos es mayor que en el último nivel, Alto Rendimiento, ya que, al compartir asignatura con otros deportes, no se imparte el total de contenidos. Este problema conlleva a que la formación de ese deporte es mínima al compartir el total de créditos entre otros deportes. Se observan asignaturas como didáctica de los deportes de balón, materia de 6 créditos donde el deporte del baloncesto y hockey están fusionados, o Fundamentos de los deportes colectivos, con un total de 4.5 créditos, donde se imparte voleibol y baloncesto. Esta metodología es común en grados de ciencias del deporte que se hayan en facultades generalistas, como, por ejemplo, en la facultad de educación, cuyo objetivo es la enseñanza de los deportes de una forma genérica sin llegar a la profundización (ver Figura 6).

Figura 6. Créditos de las materias de baloncesto, según profundización, según modalidad
Al analizar las actividades formativas teóricas versus las actividades formativas prácticas, se aprecia un número medio de horas mayor de las prácticas que de las teóricas, más destacado en Alto Rendimiento, que en el resto de los niveles de profundización (Figura 7). Al compararlo con asignaturas de Vela, se aprecia un mismo resultado, ya que ambos deportes les dan una mayor importancia a las horas prácticas que a las horas actividades formativas teóricas. Es decir, optan por dar más contenidos en pista que en una clase (Morales et al, 2017).

Figura 7. Número de horas de actividades formativas Teóricas Vs Prácticas, según nivel de profundización
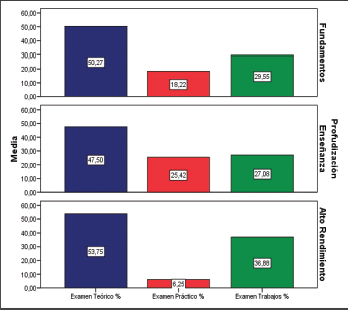
En la Figura 8, desde la perspectiva de la evaluación, se aprecia que en los tres niveles de profundización el examen teórico tiene un mayor porcentaje en la evaluación final, seguido de trabajos y, con el menor porcentaje, el examen práctico. Este examen está vinculado con criterios de observación y diseño de actividades, mientras que, en contenidos de Fundamentos, está relacionado con el desarrollo motriz.

Figura 8. Porcentaje de sistemas de evaluación en las materias de Baloncesto, según nivel de profundización
El mayor porcentaje de evaluación que se puede apreciar en la mayoría de las materias es a través de exámenes teóricos (ver Figura 9).

Figura 9. Principal sistema de evaluación en las materias de Baloncesto, según nivel de profundización
Solo en cuatro universidades del total se valora positivamente la asistencia a congresos o reuniones científicas, al igual que en 17 de ellas los trabajos de investigación o colaboración, es decir, actividades relacionadas con la investigación (ver Figura 10).

Figura 10. Otros sistemas de evaluación en las materias de Baloncesto
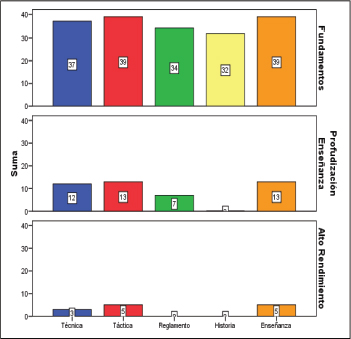
Desde la perspectiva de los contenidos de las asignaturas, se observan diferencias entre las materias según el nivel de profundización. Se aprecia una priorización hacia la enseñanza de contenidos tácticos y enseñanza-aprendizaje en asignaturas de Fundamentos (ver Figuras 11 y 12), aunque otros contenidos como aspectos técnicos del deporte, reglamento e historia se encuentran en todas las asignaturas.

Figura 11. Bloques temáticos de contenidos según profundización, en materias de baloncesto

Figura 12. Porcentaje de bloques temáticos de contenidos según profundización, en materias de baloncesto
A mayor nivel de profundización, la enseñanza de los deportes apuesta por los contenidos tácticos, en la mayoría grupal, y con los procesos de enseñanza-aprendizaje, aunque no deja de lado los contenidos técnicos y de reglamento. Finalmente, en Alto Rendimiento dejan de lado los contenidos tanto de reglamento como de historia para focalizar la asignatura en la enseñanza táctica y los procesos de enseñanza-aprendizaje, ligado en menor medida del carácter técnico.
Al comparar estos resultados con estudios previos, como el de Gómez-López et al. (2016) sobre balonmano, se observa un patrón similar: una menor presencia de asignaturas especializadas en niveles avanzados y una tendencia a compartir contenidos con otros deportes, lo que reduce la especificidad formativa. Este efecto se agrava por la distribución de créditos, ya que cuando las asignaturas son compartidas, la carga lectiva de cada deporte disminuye considerablemente. En contraste con asignaturas como Expresión Corporal (Conesa-Ros & Angosto, 2017), donde los créditos y la evaluación mantienen un equilibrio entre teoría y práctica, en baloncesto predomina la evaluación teórica, incluso en niveles como Alto Rendimiento. Esta tendencia podría limitar el desarrollo de competencias aplicadas en contextos reales de enseñanza o entrenamiento. Asimismo, el escaso uso de metodologías complementarias —como la asistencia a congresos o la realización de trabajos de investigación— evidencia una falta de conexión entre la formación universitaria y el desarrollo profesional e investigador en el ámbito deportivo. Una situación similar se observa en las asignaturas de vela, donde la optatividad y especialización también son limitadas, aunque en algunos casos se muestran más flexibles. Finalmente, la priorización de contenidos tácticos en los niveles superiores y la exclusión de aspectos como el reglamento o la historia reflejan un enfoque excesivamente técnico, que puede comprometer la formación integral del futuro profesional. En este sentido, resulta necesario revisar los planes de estudio para fomentar una mayor especialización, ajustar la carga crediticia y equilibrar la teoría con la práctica, respondiendo así a las demandas reales del ámbito deportivo y educativo.
Los resultados de este estudio ofrecen una herramienta valiosa para orientar decisiones académicas y profesionales tanto de estudiantes como de docentes en el ámbito de la formación en baloncesto dentro de los Grados en Ciencias de la Actividad Física y del Deporte. Por lo tanto, se recomienda: a) seleccionar con mayor criterio universidades y asignaturas según el nivel de profundización deseado (fundamentos, enseñanza o alto rendimiento); b) optimizar el diseño curricular a nivel institucional para asegurar una oferta formativa equilibrada y coherente con las necesidades del sector; c) facilitar la planificación de intercambios, estancias formativas o colaboraciones entre universidades; y d) servir como base para futuras investigaciones sobre la enseñanza del baloncesto en el contexto universitario español.
Tras el análisis de los resultados, se observa una alta cantidad de asignaturas de Baloncesto cuyo nivel de profundización es Fundamentos, ligado a un bajo porcentaje de universidades cuyas asignaturas con más nivel, ya sea Enseñanza o Alto Rendimiento, no tienen un carácter obligatorio. Además, el tipo de evaluación que destaca entre dichas universidades son los exámenes teóricos, teniendo un porcentaje bastante más elevado en comparación con los exámenes prácticos o trabajos. Por último, se observa que, a mayor nivel de profundización de la asignatura, menor porcentaje de bloques de contenidos. Es decir, en Alto Rendimiento sólo se encuentran contenidos relacionados con la técnica, táctica y enseñanza, ayudando a la especialización en el deporte escogido. Los resultados de este estudio permiten conocer la forma de enseñar esta asignatura y sus contenidos en las diferentes universidades, sirviendo de guía a aquellos profesores que impartan dicha asignatura en sus centros y/o a aquellas universidades que quieran modificar el diseño de sus grados o másteres especializados en esta asignatura. Por último, ayudar a aquellos alumnos que quieran formarse en Baloncesto sabiendo cuáles son los contenidos a tratar y si es el adecuado para lo que buscan, ya sean procedentes de España o como alumnado ERAMUS.
Conesa-Ros, E., & Angosto, S. (2017). Análisis del contenido de “expresión corporal” en los planes de estudio de grado en ciencias de la actividad física y el deporte en universidades españolas. Journal of Sport and Health Research, 9(2), 263-272.
Coterón, J., Franco, E., & Gil, J. (2012). Opinión del alumnado sobre la implantación del Espacio Europeo de Educación Superior en Estudios de Ciencias de la Actividad Física y del Deporte. Revista Complutense de Educación, 23(1), 191-206.
Del Villar, F. (2005). Libro Blanco. Título de Grado en Ciencias de la Actividad Física y del Deporte.
Gallardo, A. M., Maciá, M. J., Marín, M., Fernández, A., & García, M. (2021). Análisis de las guías docentes de Equipamiento e instalaciones deportivas impartidas en la educación superior española. Retos, 41, 406–416.
Gómez-López, M., & Ruiz, V., & Chirosa, L. J., & Angosto, S. (2016). Análisis de los contenidos de “balonmano” en los planes de estudio actuales de grado en ciencias de la actividad física y del deporte. E-balonmano.com: Revista de Ciencias del Deporte, 12(3),177-184.
Jiménez, L., Ramos, F. J., & Ávila, M. (2012). El proceso de adaptación de las universidades españolas al Espacio Europeo de Educación Superior: un estudio sobre los títulos de Grado de maestro en Educación Primaria. Formación Universitaria, 5(1), 33-44.
Ley 77/1961, de 23 de diciembre, sobre Educación Física. Boletín Oficial del Estado núm. 309, de 27 de diciembre de 1961.
Márcia, A., Soler, S., Costes, A., & Lavega, P. (2013). ¿Está Bolonia en Cataluña? Configuración y desarrollo del nuevo plan de estudios en CAFyD en el INEFC: Un estudio de caso. Ágora para la educación física y el Deporte, 15(2), 96-112.
Ministerio de Ciencia, Innovación y Universidades (2018). Resolución de 18 de septiembre de 2018, de la Secretaría General de Universidades, por la que se publica el Acuerdo del Consejo de Universidades de 17 de septiembre de 2018, por el que se establecen recomendaciones para la propuesta por las universidades de memorias de verificación del título oficial de Grado en Ciencias de la Actividad Física y del Deporte. Boletín Oficial del Estado, 228, de 20 de septiembre de 2018, páginas 91209 a 91217
Morales, V., Torres, M., & Espinosa, M. (2017). Inclusión del Deporte de La Vela, como asignatura, dentro de los nuevos Planes de Estudio de Grado en Ciencias de la Actividad Física y el Deporte. Journal of Sport and Health Research, 9(2), 273-284.
Mujica-Johnson, F., & Jiménez, A.C. (2019). Percepción emocional en la asignatura de Baloncesto de estudiantes del Grado en Ciencias del Deporte: Estudio piloto. Cuadernos de Psicología del Deporte, 19(2), 160-174
REAL DECRETO 1670/1993, de 24 de septiembre por el que se establece el título universitario oficial de Licenciado en Ciencias de la Actividad Física y del Deporte y las directrices generales propias de los planes de estudios conducentes a la obtención del mismo. Boletín Oficial del Estado núm. 251, de 20 de octubre de 1993
REAL DECRETO 1125/2003, de 5 septiembre, por el que se establece el sistema europeo de créditos y el sistema de calificaciones en las titulaciones universitarias de carácter oficial y validez en todo el territorio nacional. Boletín Oficial del Estado núm.224, del 18 de septiembre de 2003.
REAL DECRETO 1393/2007, de 29 de octubre, por el que se establece la ordenación de las enseñanzas universitarias oficiales. Boletín Oficial del Estado núm.260, del 30 de octubre de 2007.
REAL DECRETO 43/2015, de 2 de febrero, por el que se establece la ordenación de las enseñanzas universitarias oficiales. Boletín Oficial del Estado núm. 29, del 3 de febrero de 2015.
Vicente, M., & Brozas, M. P. (2014). Evolución de los planes de estudio de Educación Física y Ciencias de la Actividad Física en la Universidad de León: estudio de un (fra)caso. Retos. Nuevas tendencias en Educación Física, Deporte y Recreación, 26, 101-107.
* Autor de correspondencia: Ricardo André Birrento Aguiar, ra.birrentoaguiar@um.es
Recibido: Julio 7, 2025
Aceptado: Octubre 7, 2025
Publicado: Diciembre 31, 2025
Cómo citar: Gimenez Egido, J. M., Ponce Murcia, A., Birrento Aguiar, R. A. (2025). Análisis de las asignaturas de baloncesto de los grados universitarios en Ciencias de la Actividad Física y del Deporte en España. JUMP, 12, 18-27. https://doi.org/10.17651/jump.n12.9640

This is an open access article under the CC-BY 4.0 license